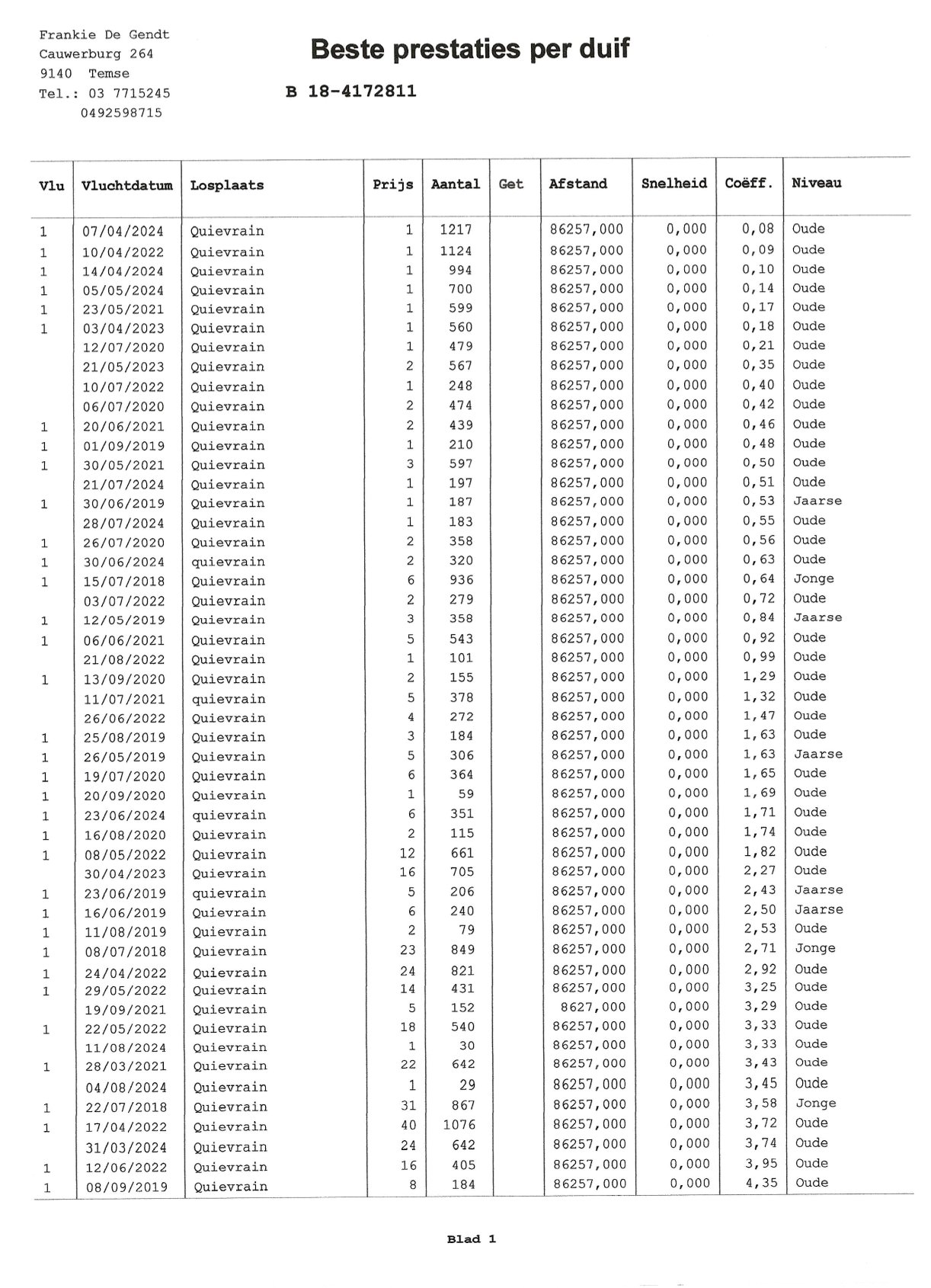
Kleinkind "Lotte 811", 7e & 11e Nat.Asduif Snelheid

Pedigree

Beschrijving

Original De Gendt Frankie

Kleinkind “Lotte 811”

·        7e Nationale Asduif Snelheid KBDB '24

·        4e Prov.Asduif Snelheid O-VL '24

·        11e Nat.Asduif Snelheid KBDB '20

·        7e Prov.Asduif Snelheid O-Vl '20

·        Winnaar 3 maal Gouden Ring '19-'22-'24

·        Winnaar Zilveren Ring '24

·        17 maal 1e prijs, 23 maal per 100-tal en 67 maal per 10-tal !!

Kleinkind 350/23

·        5° Provinciale Asduif Snelheid 2023

·        6 x Per 100-tal

·        12 x Per 10-tal

Kleinkind 316/23

·        4x Eerste Prijs

·        4x Per 100-tal

·        14x Per 10-tal

Vader : BE24-4171404

Kind 350/23

·        5° Provinciale Asduif Snelheid 2023

·        6 x Per 100-tal

·        12 x Per 10-tal

Kind 316/23

·        4x Eerste Prijs

·        4x Per 100-tal

·        14x Per 10-tal

Kleinkind van moeder “Fast 612”

·        12e Nationale Asduif Oude Snelheid KBDB ‘20

·        4e Provinciale Asduif Oude Snelheid KBDB ‘20

·        Zilveren ring winnaar ‘18

·        Zilveren ring winnaar ‘19

·        Bronzen ring winnaar ‘20

·        14 x 1e prijs

·        20 maal per 100-tal en 60 maal per 10-tal

Kleinkind van moeder 101/21

·        5e Provinciale Asduif Snelheid Oude 2023

·        Winnaar Gouden Ring GRW ‘23

·        Winnaar Zilveren Ring ‘24

·        9x Eerste Prijs

·        12x Per 100-tal / 47x Per 10-tal

Moeder : BE24-4171405

Kind “Lotte 811”

·        7e Nationale Asduif Snelheid KBDB '24

·        4e Prov.Asduif Snelheid O-VL '24

·        11e Nat.Asduif Snelheid KBDB '20

·        7e Prov.Asduif Snelheid O-Vl '20

·        Winnaar 3 maal Gouden Ring '19-'22-'24

·        Winnaar Zilveren Ring '24

·        17 maal 1e prijs, 23 maal per 100-tal en 67 maal per 10-tal !!