Kind 4 x 1e prijs & 4 x 1 per 100-tal

Pedigree

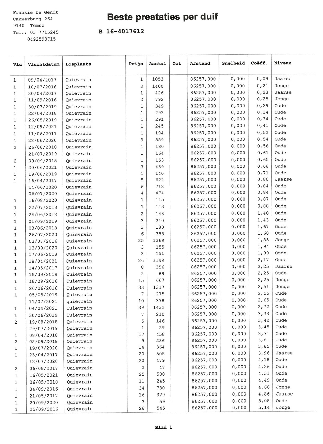
Beschrijving

Original De Gendt Frankie

Kind van 316/23

·        4x Eerste Prijs

·        4x Per 100-tal

·        14x Per 10-tal

·        1/1114, 1/246, 1/179, 1/34, 3/95, 4/817, 5/179, 9/527, 9/294, 11/122, 15/1125

Achterkleinkind "Fast 612"

·        12e Nationale Asduif Oude Snelheid KBDB ‘20

·        4e Provinciale Asduif Oude Snelheid KBDB ‘20

·        Zilveren ring winnaar ‘18

·        Zilveren ring winnaar ‘19

·        Bronzen ring winnaar ‘20

·        14 x 1e prijs

·        20 maal per 100-tal en 60 maal per 10-tal

"Fast 612" is moeder van "Blauw 716/16"

·        5e Nationale Asduif Snelheid Oude 2020

·        2e Provinciale Asduif Snelheid Oude 2020

·        16x Eerste Prijs

·        18x Per 100-tal / 57x Per 10-tal

Vader : BE24-4171477 "Vaul 477"

Kleinkind "Fast 612"

·        12e Nationale Asduif Oude Snelheid KBDB ‘20

·        4e Provinciale Asduif Oude Snelheid KBDB ‘20

·        Zilveren ring winnaar ‘18

·        Zilveren ring winnaar ‘19

·        Bronzen ring winnaar ‘20

·        14 x 1e prijs

·        20 maal per 100-tal en 60 maal per 10-tal

"Fast 612" is moeder van "Blauw 716/16"

·        5e Nationale Asduif Snelheid Oude 2020

·        2e Provinciale Asduif Snelheid Oude 2020

·        16x Eerste Prijs

·        18x Per 100-tal / 57x Per 10-tal

Moeder : BE23-4141316 "Geschelpt 316"

Won oa

·        4x Eerste Prijs

·        4x Per 100-tal

·        14x Per 10-tal

·        1/1114, 1/246, 1/179, 1/34, 3/95, 4/817, 5/179, 9/527, 9/294, 11/122, 15/1125

Zuster van 203/22

·        2e Prov Asduif Snelheid Jonge 2022

·        Winnaar Gouden Ring 2022

·        Superstar Allround

·        4x Eerste Prijs

·        8x Per 100-tal / 17x Per 10-tal